云南天文台采用康普顿软化物理过程阐述首次发现的伽玛射线暴发射线时间演化性质
云南天文台对“史上最亮”(Brightest Of All Time)伽玛射线暴GRB 221009A的高能发射线的物理机制研究取得重要成果,提出理论模型系统解释了发射线的时间演化特征,相关成果以" Production Mechanism of High-energy Emission Line in the Brightest Cosmic Burst"为题于2025年 9月 29日发表在国际天文期刊《天体物理学杂志》(The Astrophysical Journal)。
极目空间望远镜(GECAM)和费米卫星伽玛射线监测器在伽玛射线暴GRB 221009A中首次探测到一系列高置信度的伽马射线发射线谱线,发射线能量最高达到37兆电子伏,且发射线的能量和光度均以幂律形式随时间演化,而发射线的展宽在时间演化过程中则基本保持不变。此后,有一系列理论工作尝试解释谱线的物理起源和观测特征,然而,完整而自洽地解释这些谱线的时间演化特征成为一项重要挑战。
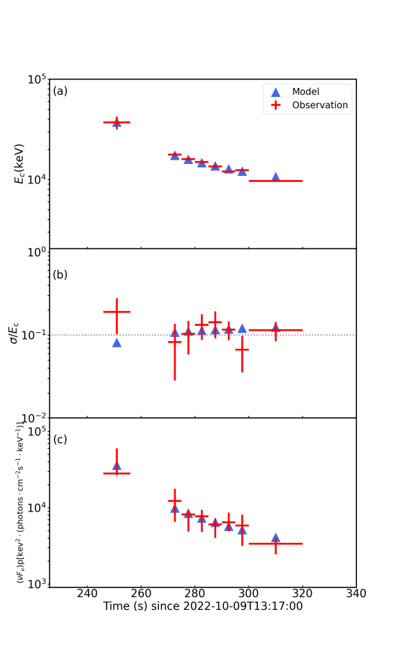
为了解释发射线的时间演化,中国科学院云南天文台刘杰英博士和毛基荣研究员、中国科学院高能物理研究所熊少林研究员和张艳秋博士组成的合作团队提出,在该伽玛射线暴的亚光球层区域,正负电子对湮灭产生原始的发射线,这些原始发射线光子经过周围高温和高密度介质时,与介质中的电子散射,发射线光子损失能量,从而发射线线心的能量和总辐射强度减弱。这一过程被称为康普顿软化(见图1)。结合伽玛射线暴喷流动力学过程,康普顿软化理论模型可以系统地解释伽玛射线暴高能发射线的时间演化特性(见图2),并同时对喷流内部介质的物理性质(温度和密度)进行了测量。
这项工作对研究伽玛射线暴高能发射线时间演化具有重要意义,为揭示宇宙中高能爆发极端现象的物理起源开启了新的研究方向。
该研究受到国家自然科学基金委基础科学中心项目、科技部重点研发计划项目、中国科学院战略性先导科技专项、云南省兴滇英才支持计划、云南省基础研究计划项目、云南省国际超新星研究重点实验室项目资助。

图1:高能发射线的辐射转移示意图

图2:理论模型(蓝色三角形)和观测结果(红色“+”)的对比
附件下载: