云南天文台利用LAMOST揭示热亚矮星双星物理参数统计规律
近期,中国科学院云南天文台大样本恒星演化研究团组在热亚矮星双星物理参数统计研究方面取得重要进展。相关研究成果已于近日正式发表在国际天体物理期刊《天体物理学杂志》(The Astrophysical Journal)上。
热亚矮星是一类核心氦燃烧、外壳极薄的致密恒星,对解释椭圆星系中的紫外超出现象至关重要。热亚矮星的形成离不开双星相互作用,包括稳定洛希瓣外流通道形成长周期双星,以及共有包层抛射形成短周期双星。然而,复合光谱双星(即光谱中同时包含热亚矮星和冷伴星贡献的系统)长期以来样本稀少,且物理参数难以精确测定,导致对其形成通道的统计认识十分有限。
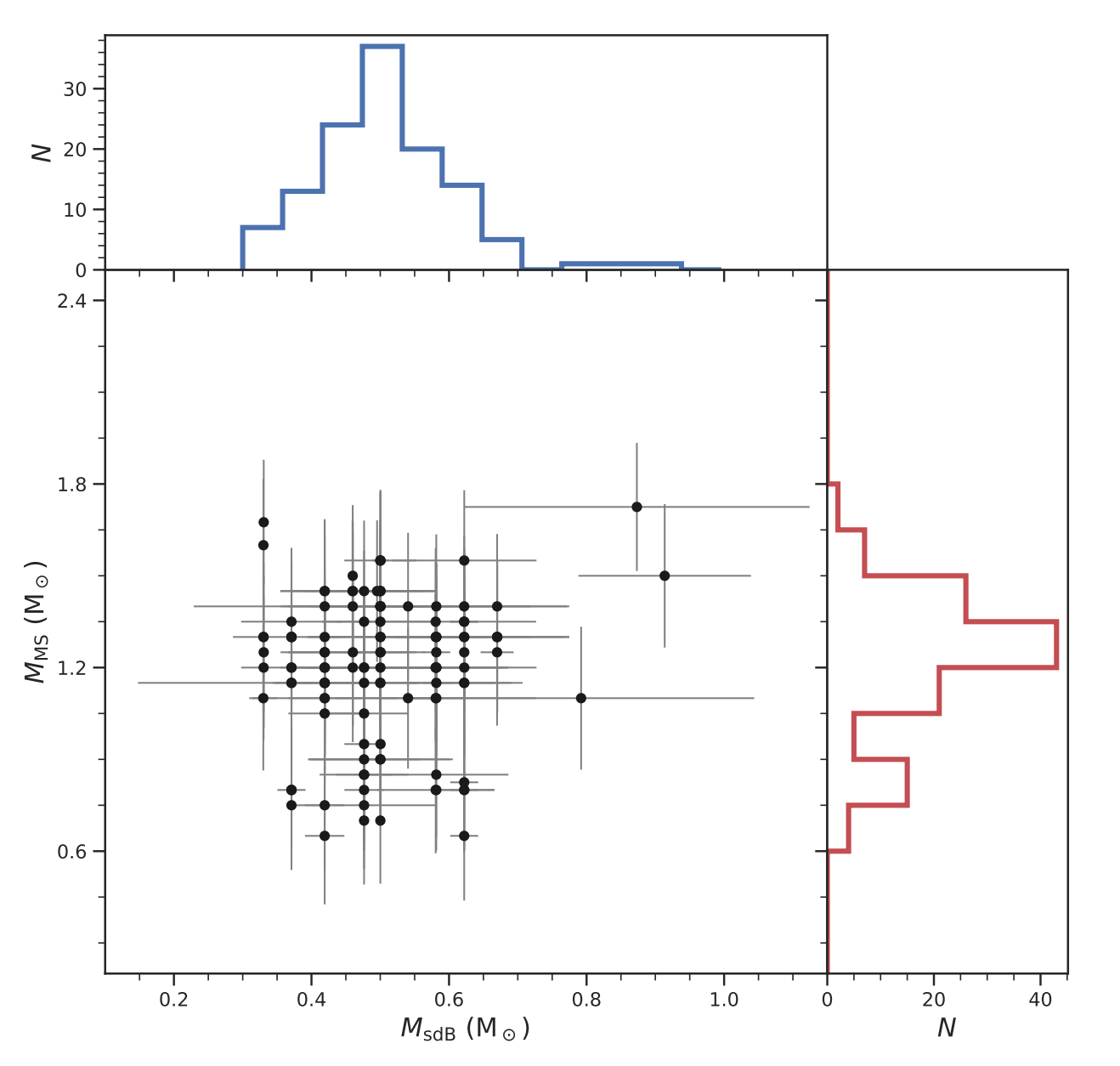
研究团队利用中国郭守敬望远镜(LAMOST)的低分辨率光谱数据,从前期已识别的复合光谱候选体中严格筛选出123个高质量的热亚矮星+主序星双星系统。通过光谱分解获得了热亚矮星的有效温度和表面重力,并借助恒星演化模型分别估算了双星各自的质量和半径。结果显示,热亚矮星的质量紧密集中在0.50倍太阳质量附近,符合核心氦燃烧星的预期;而主序伴星的质量范围较宽,为0.6至1.9倍太阳质量,大部分在1.0至1.4倍太阳质量之间,对应F/G型主序星(图1)。团队创新性地采用蒙特卡洛方法,基于单次视向速度差、随机轨道倾角和相位,统计推断出每个系统的轨道周期分布。在群体层面上,这些双星的轨道周期明显集中于长周期区间(数十天至数千天),与稳定洛希瓣外流通道形成的宽距双星预期一致(图2)。
该研究首次基于LAMOST大规模光谱数据,构建了目前最大、参数最均匀的复合光谱热亚矮星双星样本,系统揭示了该类天体的质量、半径和轨道周期统计规律。研究结果表明,复合光谱热亚矮星双星群体主要由稳定洛希瓣外流通道形成,为区分热亚矮星的双星演化通道提供了关键观测约束。这一成果丰富了人们对热亚矮星形成机制的认识,也为未来利用更大样本开展双星演化统计研究奠定了重要基础。该研究成果得到了国家自然科学基金项目、国家重点研发计划、国际超新星中心等的支持。

图1:双星系统中热亚矮星与主序伴星的质量分布,热亚矮星质量集中于0.5 M⊙附近,而主序伴星质量范围较宽。

图2:通过蒙特卡洛方法统计推断的轨道周期分布,系统周期主要集中在数十天至数千天的长周期区间。
附件下载: