头条新闻
  • 云南天文台研究人员发现伽马射线暴GRB 240825A余辉存在暗到亮的转化现象

    近日,中国科学院云南天文台博士研究生李睿智、毛基荣研究员和其他合作者在国际天体物理学期刊《天体物理杂志》(The Astrophysical Journal)上发表了题为《Time Evolution of Optical Darkness in Gamma-Ray Burst Afterglow: The Case of GRB 240825A》的研究论文。这项工作深入地揭示...

    2026-01-30
  • 中国科学院召开2026年度工作会议

    1月28日至29日,中国科学院在京召开2026年度工作会议。中国科学院院长、党组书记侯建国作题为《勇担国家战略科技力量主力军使命重任 奋进科技强国新征程》的工作报告。中国科学院副院长、党组副书记吴朝晖,副院长、党组成员周琪分阶段主持会议。中国科学院全体院领导、部分院老领导出席...

    2026-01-30
  • 云南天文台在一例特殊的伽玛射线爆发事件中发现准周期震荡现象

    近日,中国科学院云南天文台博士研究生宋非凡和毛基荣研究员在国际天体物理期刊《The Astrophysical Journal》上发表了题为《Possible Quasi-Period Oscillation Signals in the Unique Event of GRB 250702DBE/EP250702a?》的研究论文。伽玛射线暴(Gamma-ray Burst,GRB)是短时标的高...

    2025-11-21
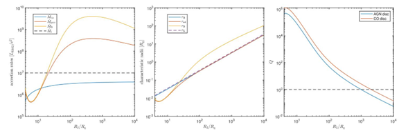
  • 云南天文台提出AGN盘内嵌致密天体吸积新模型

    近日,中国科学院云南天文台双星与变星研究团组副研究员焦承亮等人在《皇家天文学会月刊》(MNRAS)发表了题为《Accretion rates of stellar-mass compact objects embedded in AGN discs》的研究论文。该研究提出了一种全新的方法,用于估算嵌入活动星系核(AGN)吸积盘中的恒星级致密天...

    2025-11-26
  • 云南天文台利用高分辨率数据揭示了宁静区暗条周围色球纤维的物理特性

    近日,中国科学院云南天文台抚仙湖太阳观测和研究基地博士研究生董起帆和导师闫晓理研究员等人利用抚仙湖一米新真空太阳望远镜(NVST)的高分辨率观测数据,对宁静区暗条周围色球纤维的物理性质与振荡进行了详细研究,相关研究成果已于2025年9月19日正式发表在国际天体物理期刊《Monthly ...

    2025-10-10
  • 中国巨型太阳望远镜(CGST)关键技术研讨会成功举办

    为了完善中国巨型太阳望远镜(CGST)的技术方案,有序推进CGST十五五立项工作,中国科学院云南天文台于2025年7月27日-2025年7月30日在昆明安宁召开了CGST关键技术研讨会。来自中国科学院国家天文台、紫金山天文台、新疆天文台、南京天文光学技术研究所、光电技术研究所、南京天文仪器有限...

    2025-07-31
  • 云南天文台在小行星族群Phocaea物理性质的研究上取得重要进展

    基于空间的GAIA和TESS巡天项目以及地面的云南-香港宽视场测光(YNHK)巡天项目的观测数据,中国科学院云南天文台系外行星/太阳系小行星研究团组的研究人员对太阳系中古老的小行星族群Phocaea开展了深入研究。首次测定了其部分成员小行星的密度和多孔度,并推测该小行星族群是H型球粒陨石...

    2025-07-02
  • 云南天文台在日冕亮点中首次发现振荡磁重联现象

    近日,中国科学院云南天文台洪俊超副研究员及其合作者,首次在太阳日冕亮点(Coronal Bright Point, CBP)中观测到振荡磁重联(oscillatory magnetic reconnection)的直接证据。这一发现为深入理解太阳小尺度结构中的能量释放过程与日冕加热机制提供了关键物理支撑。相关研究成果已于202...

    2025-06-25
  • 云南天文台利用太阳高分辨率观测数据揭示了白光耀斑产生的新机制

    近日,中国科学院云南天文台抚仙湖太阳观测和研究基地青年副研究员徐喆及合作者在国际天文学期刊《The Astrophysical Journal Letters》发表了一项突破性成果,他们通过高分辨率观测手段详细解析了一次罕见的C9.3级白光太阳耀斑及其对光球层的影响。这项研究不仅挑战了传统的白光耀斑产生...

    2025-06-12
  • 中国科学院云南天文台领衔的国际团队首次利用TTV技术在类太阳恒星宜居带发现超级地球

    “我们孤独吗?”是地球上人类一直在思考的千古难题。1995年发现的围绕类太阳恒星运行的系外行星为解答这一难题打开了一扇大门。有关系外行星的研究已经成为21世纪最重要的科学课题之一,对理解行星的形成与演化规律乃至认识生命的起源均具有深远的意义。这其中寻找系外类地生命是行星科...

    2025-06-03